

Welcome to the Growery Message Board! You are experiencing a small sample of what the site has to offer. Please login or register to post messages and view our exclusive members-only content. You'll gain access to additional forums, file attachments, board customizations, encrypted private messages, and much more!
snufkin

Registered: 10/14/08
Posts: 99
Last seen: 15 years, 1 month
|
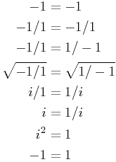
1 = -1
#170626 - 12/26/08 05:09 PM (17 years, 5 months ago) |
|
|
 Any questions?
-------------------- Grows: 1 2
|
still beLIEve
State Property..Again


Registered: 04/20/08
Posts: 17,167
Loc: a world thats not my own
|
Re: 1 = -1 [Re: snufkin]
#170627 - 12/26/08 05:10 PM (17 years, 5 months ago) |
|
|
math
fuck it
-------------------- niteowl said:
See, that term pedo gets thrown around a lot.
Is a 16 year old guy having sex w/a 16 year old girl a pedophile?
If not, then how is a 30 year old considered a pedophile for doing the same thing?
I think y'all need to look up the definition for pedophile.
|
Picklez




Registered: 04/20/08
Posts: 17,919
Last seen: 11 years, 11 months
|
|
still beLIEve said: math
fuck it
|
ThreeLittleBirds
A Guy


Registered: 04/20/08
Posts: 752
|
Re: 1 = -1 [Re: snufkin]
#170636 - 12/26/08 05:24 PM (17 years, 5 months ago) |
|
|
I can't even do algebra, fuck math it was never my thing
--------------------
"Rise up this mornin,
Smiled with the risin sun,
Three little birds
Pitch by my doorstep
Singin sweet songs
Of melodies pure and true........"
|
mel_lonta_tauda

Registered: 04/20/08
Posts: 9,407
Loc: the sun
|
Re: 1 = -1 [Re: Picklez]
#170656 - 12/26/08 06:00 PM (17 years, 5 months ago) |
|
|
KillerPicklez said:
still beLIEve said: math
fuck it
|
maggotz


Registered: 04/20/08
Posts: 1,018
|
Re: 1 = -1 [Re: snufkin]
#170688 - 12/26/08 07:11 PM (17 years, 5 months ago) |
|
|
that's wrong.
|
dfernandez90


Registered: 04/21/08
Posts: 371
|
Re: 1 = -1 [Re: maggotz]
#170691 - 12/26/08 07:21 PM (17 years, 5 months ago) |
|
|
Edited by dfernandez90 (12/26/08 07:31 PM)
|
0xYg3n
el cid

Registered: 04/20/08
Posts: 2,591
Last seen: 17 years, 2 months
|
|
wrong!
|
MrTheDevious
Registered: 12/27/08
Posts: 1
Last seen: 17 years, 5 months
|
Re: 1 = -1 [Re: 0xYg3n]
#170965 - 12/27/08 03:39 AM (17 years, 5 months ago) |
|
|
That's actually not why it fails. The proof fails because the square root function is discontinuous over the complex plane, allowing for branches
|
0xYg3n
el cid

Registered: 04/20/08
Posts: 2,591
Last seen: 17 years, 2 months
|
|
Yes, yes it is why it fails.
|
maggotz


Registered: 04/20/08
Posts: 1,018
|
|
exactly. only if both are real and positive.
|
MassSpectrometer
Ion Cyclotron

Registered: 12/26/08
Posts: 262
Last seen: 17 years, 4 months
|
Re: 1 = -1 [Re: maggotz]
#171014 - 12/27/08 09:32 AM (17 years, 5 months ago) |
|
|
even if they were imaginary that property would still hold. i dont believe you need to put those restrictions on a & b
-------------------- LSD has the potential to counter the psychological problems induced by materialism, alienation from nature through industrialization and increasing urbanization, lack of satisfaction in professional employment in a mechanized, lifeless working world, ennui and purposelessness in wealthy, saturated society, and lack of a religious, nurturing, and meaningful philosophical foundation of life. -Albert Hoffman
|
MassSpectrometer
Ion Cyclotron

Registered: 12/26/08
Posts: 262
Last seen: 17 years, 4 months
|
|
after further contemplation i conclude that you dont. that property results from the fact that when you square a fraction you square the numerator and denominator.
-------------------- LSD has the potential to counter the psychological problems induced by materialism, alienation from nature through industrialization and increasing urbanization, lack of satisfaction in professional employment in a mechanized, lifeless working world, ennui and purposelessness in wealthy, saturated society, and lack of a religious, nurturing, and meaningful philosophical foundation of life. -Albert Hoffman
|
snufkin

Registered: 10/14/08
Posts: 99
Last seen: 15 years, 1 month
|
|
The trick here is that . In the array of equations I lose the minus sign by disrespecting this rule and end up with 1 = -1. A shorter, more obvious method would be
-------------------- Grows: 1 2
|
still beLIEve
State Property..Again


Registered: 04/20/08
Posts: 17,167
Loc: a world thats not my own
|
Re: 1 = -1 [Re: snufkin]
#171053 - 12/27/08 11:45 AM (17 years, 5 months ago) |
|
|
1 -1 = 0
i got college down
-------------------- niteowl said:
See, that term pedo gets thrown around a lot.
Is a 16 year old guy having sex w/a 16 year old girl a pedophile?
If not, then how is a 30 year old considered a pedophile for doing the same thing?
I think y'all need to look up the definition for pedophile.
|
MassSpectrometer
Ion Cyclotron

Registered: 12/26/08
Posts: 262
Last seen: 17 years, 4 months
|
|
i would hire you.
-------------------- LSD has the potential to counter the psychological problems induced by materialism, alienation from nature through industrialization and increasing urbanization, lack of satisfaction in professional employment in a mechanized, lifeless working world, ennui and purposelessness in wealthy, saturated society, and lack of a religious, nurturing, and meaningful philosophical foundation of life. -Albert Hoffman
|
0xYg3n
el cid

Registered: 04/20/08
Posts: 2,591
Last seen: 17 years, 2 months
|
|
4chan, people. 4chan.
| |
|
|
|
|